How To Divide Polynomials With Multiple Variables
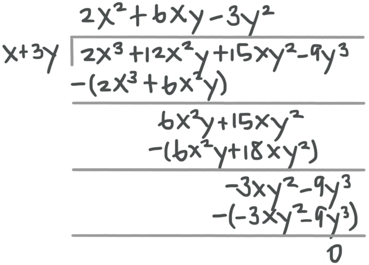
How To Do Polynomial Long Division With Multivariable Polynomials Krista King Math Online Math Tutor

How To Do Polynomial Long Division With Multivariable Polynomials Krista King Math Online Math Tutor

Dividing Polynomials College Algebra
How To Do Polynomial Long Division With Multivariable Polynomials Krista King Math Online Math Tutor

5 5 Dividing Polynomials Mathematics Libretexts

Division Of Polynomials With Two Variables Study Com
How To Do Polynomial Long Division With Multivariable Polynomials Krista King Math Online Math Tutor
Dividing Polynomials Ck 12 Foundation

Use Synthetic Division To Divide Polynomials College Algebra

Dividing Polynomials College Algebra

Polynomial Division Calculator

Division Of Polynomials With Two Variables Study Com

Polynomials Long Division Youtube

Maths Polynomial Division Polynomial Part 5 English Youtube

Dividing Multivariable Polynomials Kristakingmath Youtube

Algebra I Help Dividing Polynomials With Missing Terms Part I Youtube

Dividing Polynomials By Linear Expressions Missing Term Video Khan Academy

Division Of Polynomials With Two Variables Study Com

Use Long Division To Divide Polynomials College Algebra
